We are witnessing more really big spreads (15+ points) than usual in the NFL this season
So far this year, through 8 of 17 weeks (121 of 267 games) (i.e. less than half of the season), there have been EIGHT games in the NFL where the spread was 15 points or greater (and TWO(!!!) with spreads greater than 20):
- Vikings (16.5) vs Washington Football Team (October 24, 2019)
- Bills (-17) vs Dolphins (October 20, 2019)
- Patriots (-16.5) vs Giants (October 10, 2019)
- Patriots (-16.5) AT Washington Football Team (October 6, 2019)
- Chargers (-15) AT Dolphins (September 29, 2019)
- Cowboys (-21.5) vs Dolphins (September 22, 2019)
- Patriots (-21) vs Jets (September 22, 2019)
- Patriots (-18) AT Dolphins (September 15, 2019)
This seems like a lot! So I went and checked back through 2006. Turns out, this is a lot. The most there has ever been in a FULL season is 14 in 2007. Nine of those games were the Patriots during their undefeated season. The next most in a season was 2009 with seven such games (mostly involving the Raiders…). In 8 of the last 14 seasons, there were at most 3 such games (3 in 2006, 2011, 2016, 2017, 2018, 1 in 2014 and 2015, and ZERO(!) in 2010).
So we are ALREADY at 8 games and we are LESS THAN HALFWAY (there are NINE weeks left!) through the season.
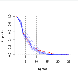
Through 121 games 8 of them (or 6.61%) have had spreads of 15 or more. The next two highest rates occurred in 2007 and 2009 at 3.75% and 2.62%, respectively. No other season since 2006 has had more than 2% of games with spreads that large. The plots below show survival curves of the spreads with all past seasons in blue and 2019 in red with the plot on the right zoomed in. (The way to read this plot is that the height of the curve tell you the proportion of games played where the spread was LARGER than the x-value.)


You can also see the increase in the number of high spread games in this plot below, which shows the density estimates of the absolute value of the spreads.

Notice that the proportion of games with spreads around 10 are actually lower than most years, but as you get out past 15, you see a big jump in the density. If instead we look at the actual spread rather than the absolute value, we get the plot below.

Here, negative values correspond to a home team being favored and positive values indicate an away favorite. 2019 is shown in black. Notice the difference in the behavior in the tails of the distribution in 2019. There are both more big home favorites but also more big AWAY favorites. The big away favorites are particularly interesting. Since 2006 there have only been 8 total games where the away team was favored by 15 or more points and SIX of those games involved the Patriots:
- Patriots (-16.5) at Washington Football Team (October 6, 2019)
- Chargers (-15) at Dolphins (September 29, 2019)
- Patriots (-18) at Dolphins (September 15, 2019)
- 49ers (-16) at Jaguars (September 15, 2013)
- Patriots (-15.5) at Buccaneers (October 25, 2009)
- Patriots (-19) at Ravens (December 3, 2007)
- Patriots (-16.5) at Bills (November 18, 2007)
- Patriots (-16) at Dolphins (October 21, 2007)
So, in summary, between 2006 and 2018 we witnessed 5 total games where the away team was favored by 15 or more. That’s an average on ONE game every 2.6 seasons, but this season we are seeing an away team favored by 15 or more once every 2.67 WEEKS!
We’ll see if this trend continues for the rest of the 2019 season, but so far we are seeing a lot more extremely lopsided games than usual.
Cheers.
Posted on October 30, 2019, in Uncategorized. Bookmark the permalink. Leave a comment.
Leave a comment
Comments 0