The Mets screwed deGrom
Wins are a shitty statistics in baseball. You can be a great pitcher on a terrible team and end up with a win-loss record that isn’t impressive at all. For instance you could be Jacob DeGrom and be an outstanding pitcher on an awful team (The Mets were 77-85). deGrom ended the season with a win-loss record of 10-9 and the Mets were 14-18 in games that he started. He also ended the season with an ERA of 1.70 and only gave up more than 3 earned runs in an outing once during the entire season (He gave up 4 earned runs on April 10 against Miami). From May 18th through the end of the season he had 24 quality starts in a row (6+ IP, 3 or fewer runs). 24 QS IN A ROW!
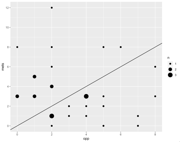
So I wanted to look at how someone could be so dominant could end up with only 10 wins and their team going 14-18 when they started. So the first thing I looked at was the scores of these games. Maybe the Mets weren’t scoring a ton of runs. In 21 of deGrom’s 32 starts (65.625%) the Mets scored three or fewer runs and the Mets were 4-17 in these games. (The league average for runs per game in 2018 was 4.45.) And in only 7 games (21.875%) did the mets score 6 or more runs. They were 6-1 in these games. Below is the scatterplot for the scores of Mets games that deGrom started in the 2018 season.

Next I looked at the number of earned runs that deGrom gave up in his start and how many runs the Mets’ opponent ended up with at the end of the game. The plot below shows the number of earned runs allowed by deGrom in an outing versus the total number of runs allowed by the mets. In only 26 of deGrom’s 32 starts the Mets managed to give up at least one run that wasn’t credited to deGrom (This could either be the bullpen giving up runs, or unearned runs because of errors. Either way, not deGrom’s fault).

Think about this. In deGrom’s 32 starts he pitched a total of 217 innings and gave up 41 earned runs. That’s about 75.35% of the innings in those games (assuming all games went a full 9 innings). Between unearned runs and runs given up by other Mets’ pitchers, the Mets allowed their opponents 63 more runs. Think about that. In games when deGrom started he pitched 217 of the total innings and the Met’s needed to only get through 71 more innings. 63 runs that weren’t deGroms fault in 71 innings. While this isn’t exactly a runs per game calculation 63 runs in 71 innings is almost 8 runs per 9 innings. Did I mention the Met’s were bad?
So how many games should the Met’s have won with deGrom starting this year? I sort of checked the answer to this question by looking at home many wins the Mets would have had in deGrom starts if the bullpen was simply league average. To do this, I computed the league average runs per out rate and then drew from a Poisson variable with this mean take n draws where n is the number of outs left in the game. I then added up the number of runs given up by the bull pen and added the to deGrom’s ER for that game. I then counted how many times the Mets would have won a game (with ties gonig 50-50 to each team). The mean is 18.85 with a median of 19 wins and 95% of the simulations had a win total between 16-22. Basically this means that, in my crude calculations, the Met’s bullpen cost the Mets somewhere between 2 and 8 wins in deGrom’s starts.
The histogram of the simulated values of the number of Mets wins if deGrom had a league average bullpen can be seen below. Almost never is it 14, the actual win total for the Mets in deGrom’s starts.

So should deGrom win the Cy Young Award with a 10-9 record? Well his ERA was 1.70. The next best in the National league was Nola at 2.37. And the only other pitcher in the entire league to end the season with an ERA under 2 was Blake Snell (1.89) who is basically a lock to win the AL Cy Young after going 21-5. So would I give it to deGrom? Probably. But I wouldn’t be that upset if Nola won it in the NL.
The one thing we can all agree on is the Mets suck.
Finally, you can see my code here. It’s a mess, but there it is: https://github.com/gjm112/StatsInTheWild/blob/master/deGrom.R
Cheers.
Posted on October 9, 2018, in Uncategorized. Bookmark the permalink. Leave a comment.
Leave a comment
Comments 0